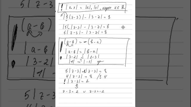
Решаване на модулни уравнения от вида |ax+b|=c изучавани в 7 клас


Във видеото са разгледани разнообразни задачи свързани с модулните уравнения от вида |ax+b|=c.
Разгледани са, както по-лесни и тривиални примери, така и примери изискващи повече съобразителност и знания. Може да се присъедините към Facebook групата ми където да задавате вашите въпроси, както и да откриете още много материали и факти свързани с математиката. Още уроци може да намерите и в сайта ми на адрес: Ако желаете може да подкрепите каналът ни като направите дарение на линка по-долу: С него ще помогнете за развитието на канала за да продължавате да намирате безплатно полезно съдържание в него.
Благодарим!

Источник: rutube.ru

Сообщение от Commenton: Необходимо стартовать сессию