Главная
Тест на совместимость
4 карты
Таро на будущее
Гадание на имя
Карта дня
Сегодня
Категории
Главная
Поздравления
ДТП
Новости
Сериалы
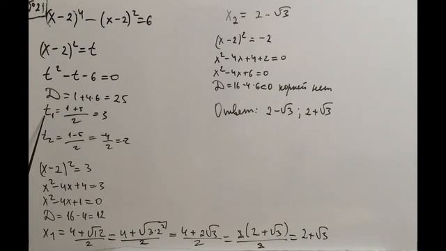
ОГЭ по математике 2019. Вариант 7
Канал на RUTUBE:
Вкусные десерты от Маргариты
| Тема:
Обучение
|
06.12.2023
|
Смотрят: 9
Источник: rutube.ru
Похожее видео
ТВОЙ ВЫХОД ИЗ ТРЕВОГИ
FIX PRICE /Карета для ЗОЛУШКИ/НОВОГОДНИЕ Украшения Декабрь 2018г.
Как поступить в Высшую школу современных социальных наук МГУ
Вебинар с замдекана по новому приёму и работе со школьниками Мехмата МГУ
маркетплейсы 08
I AM FUTURE. Движуха продолжается. Часть.8.
Баланс между занятиями и отдыхом летом даже важнее, чем в остальное время.
1 стакан айрандан жеңил кайнатма шорпо/Суп с йогуртом/1 cup of youghurt for tasty and healthy soup
ПРИКОЛ 2020! Ребёнок не хочет суп? МЫ ПОМОЖЕМ! СОВЕТ ОПЫТНОЙ МАМЫ! Смотреть до конца!
Учись первой помощи: реагировать на простой ожог
Сегодня, 19 ноября , в этот день отмечают праздник, СБОРНИК ДНЯ
Задание 14 Часть 4
КИТАЙ СУНЬКА МАРТ 2018 ПЕРВЫЙ ДЕНЬ ГОСТИНИЦА СНЕЖНАЯ ИМПЕРИЯ ЛАПШИЧНАЯ ЕДИМ МАЛАТАН
Сообщение от Commenton:
Необходимо стартовать сессию