Главная
Тест на совместимость
4 карты
Таро на будущее
Гадание на имя
Карта дня
Сегодня
Категории
Главная
Поздравления
ДТП
Новости
Сериалы
1604 экономика
Канал на RUTUBE:
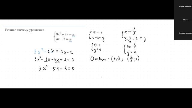
Математика - это просто
| Тема:
Обучение
|
16.04.2026
|
Смотрят: 0
Источник: rutube.ru
Похожее видео
pres
формулы сложения
расстояния от точки до прямой
В чём суть контента🤔
3003 шестиугольная пирамида, решение задач
13 задача
Криптовалюта
1604 решение 20 задачи ОГЭ
1304 расстояния в пространстве
01. Avalonia UI Real World (Images & Buttons)
формула двойного угла
0204 метод рационализации
Выполнение отчета по 10 лабораторной
Сообщение от Commenton:
Необходимо стартовать сессию