Главная
Тест на совместимость
4 карты
Таро на будущее
Гадание на имя
Карта дня
Сегодня
Категории
Главная
Поздравления
ДТП
Новости
Сериалы
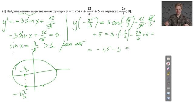
Подготовка к ЕГЭ по математике. Профильный уровень. Занятие 13
Канал на RUTUBE:
uchus.online
| Тема:
Обучение
|
05.05.2025
|
Смотрят: 1
Сайт: uchus.online Группа ВК:
Источник: rutube.ru
Похожее видео
10. Подготовка к ЕГЭ по математике. Профильный уровень. Занятие 10
06. Подготовка к ЕГЭ по математике. Профильный уровень. Занятие 6
Как удалить сообщение в Максе - Пошаговый урок в MAX
Ко дню Победы. Василий Тёркин: Гармонь (Александр Твардовский)
Английский на приёме у врача за границей
Подготовка к ЕГЭ по математике. Профильный уровень. Занятие 14
Показательное неравенство ЕГЭ (12090)
07. Подготовка к ЕГЭ по математике. Профильный уровень. Занятие 7
08. Подготовка к ЕГЭ по математике. Профильный уровень. Занятие 8
7 Shopping for clothes
9 Souvenir Shop
TOP 10 Things to do in Saint Petersburg, Russia 2023!
ЕГЭ 15#1.6
Сообщение от Commenton:
Необходимо стартовать сессию