Главная
Тест на совместимость
4 карты
Таро на будущее
Гадание на имя
Карта дня
Сегодня
Категории
Главная
Поздравления
ДТП
Новости
Сериалы
Марат Яруллин забыл имя своей возлюбленной на свидании
Канал на RUTUBE:
Тригонометрия и векторы
| Тема:
Лайфстайл
|
07.11.2024
|
Смотрят: 215
Источник: rutube.ru
Похожее видео
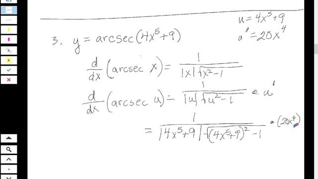
Derivatives of inverse trig functions
WIN_20260424_19_36_32_Pro
27 Урок по битбоксу vud вуть
Donna & Harvey - Falling In Love... [Hurricane + 7x10]
DS-CWDM-1510 | Cisco Compatible 1510nm CWDM 1/2-Gbps Fibre Channel SFP 80km
24-04-2026
Видео-визитка Немов НС
YANDEX ULTIMA
WIN_20260424_19_36_32_Pro
Звонок Валькирии от Вооружённых Сил РФ 🇷🇺
Андреевка: пляж и море | Пригород Севастополя
Полигонная - Гайдашовка 14.11.2017
8 ano - Atividades sobre Mediana BISSETRIZ Baricentro e Mediatriz do triângulo
Сообщение от Commenton:
Необходимо стартовать сессию