Главная
Тест на совместимость
4 карты
Таро на будущее
Гадание на имя
Карта дня
Сегодня
Категории
Главная
Поздравления
ДТП
Новости
Сериалы
127 Глава 4 - ГДЗ по математике 6 класс Герасимов
Канал на RUTUBE:
Геометрия: основы без запутывания
| Тема:
Лайфстайл
|
11.01.2024
|
Смотрят: 17
Источник: rutube.ru
Похожее видео
Мы идём гулять с собакой! | 24-апр-2026
WolframAlpha - обзор!!!!1111!!!!!!
Вместе с детьми занимаюсь творчеством
ТРИ ПОКОЛЕНИЯ - 24 апреля 2026 г.
Заставочка :3
ФАЛЬКОНЕ- Я случайно наступила…
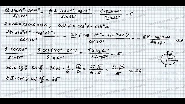
ЕГЭ 2022. Профильная математика. Преобразования числовых тригонометрических выражений. Часть 1
Серия 31, составим уравнение
БУДЕМ ГОНЯТЬ ВОЗДУХ
Чехол для Xiaomi Mi 8 Lite.
Игра APB
Equivalent Fractions | Mathematics Tutorial
Excercise 782
Сообщение от Commenton:
Необходимо стартовать сессию